Pages 30-31
Page 32
Page 33
Pages 34, 35
Pages 36, 37
Pages 38, 39
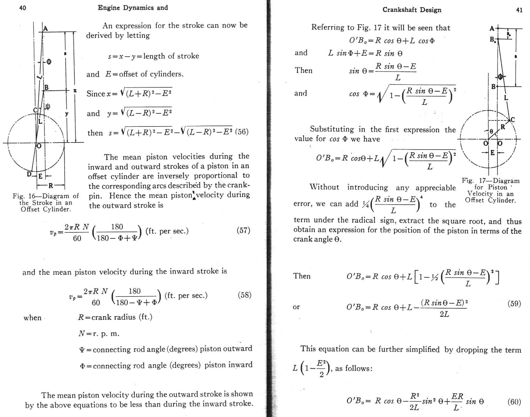
Pages 40, 41
Pages 42, 43
Pages 44, 45
Pages 46, 47
Pages 48, 49
Pages 50, 51
Pages 52, 53
Pages 54, 55
Pages 56, 57
Pages 58, 59